MG电子免费试玩

MG电子免费试玩MG电子免费试玩集团技术中心阿奇霉素杂质对照品招标公告(ZB-JS-ZP-2012002)-商业合作-MG电子免费试玩官方网站

MG电子免费试玩

MG电子免费试玩MG电子免费试玩集团技术中心阿奇霉素杂质对照品招标公告(ZB-JS-ZP-2012002)
来源:MG电子免费试玩集团 日期:2020.12.24 浏览量:7334
招标状态:招标结束
MG电子免费试玩集团有限公司拟对集团下属MG电子免费试玩集团技术中心需求的阿奇霉素杂质对照品进行公开招标,欢迎符合招标条件要求的投标方前来投标,具体事宜安排如下:
一、招标名称:MG电子免费试玩集团技术中心阿奇霉素杂质对照品招标
二、招标编号:ZB-JS-ZP-2012002
三、投标有效期:自开标之日起90天内有效。
四、招标方式:公开招标、现场评标
五、 招标内容:
根据需求部门一致性评价工作要求,需要购买以下杂质对照品。

其他标准编号

结构式

分子式及分子量

英文名

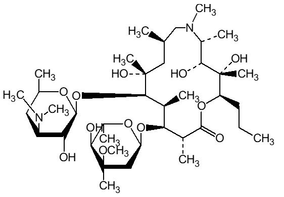
EP杂质B
BP杂质B
ChP杂质B

C38H72N2O11 732.98

3-deoxyazithromycin (azithromycin B)

EP杂质C
BP杂质C

C37H70N2O12 734.96

3’’-O-demethylazithromycin(azithromycin C)

EP杂质D
BP杂质D

C38H72N2O13 764.98

14-demethyl-14-(hydroxymethyl)azithromycin(azithromycin F)

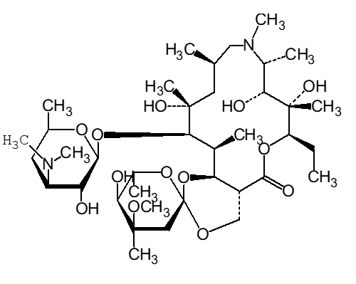
EP杂质K
BP杂质K

C38H70N2O13 762.97

1’’-epoxyazithromycin(azithromycin E)

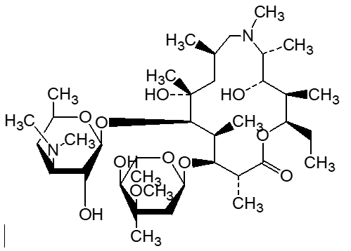
EP杂质O
BP杂质O

C39H74N2O12 763.01

2-desethyl-2-propylazithromycin,

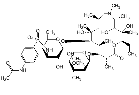
EP杂质Q
BP杂质Q

C44H75N3O15S 918.14

3’-N-[[4-(acetylamino)phenyl]sulfonyl]-3’-N,N-didemethyl)azithromycin.

……具体要求详见招标文件。
技术答疑人:姜海涛,联系电话18645093629。
六、投标单位资质及资信要求
1、经销商资质证明(三证合一营业执照等)。
2、具有健全的质量保证体系、良好的商业信誉和健全的财务会计制度,能够开具正规发票。
七、结款方式:货到验收合格开具正规发票(增值税专用发票,税率13%)报账后30天电汇。
八、日程安排
1、报名
时间:2020年12月24日—2020年12月30日,工作日9:00至16:00
方式:按要求填报投标报名表,将报名表红章扫描件发送至第九项邮箱后,电话确认。
2、开标时间:
时间:详见招标文件。
地点:MG电子免费试玩集团,详见招标文件。
3、相关费用
1)、标书款:招标文件每份100元(只提供电子文档),售后不退;(单独汇入,只可提供收据)
2)、投标保证金:人民币贰仟元整(2,000元),投标保证金及标书款必须从投标人基本账号汇到招标人指定账户。
户  名:MG电子免费试玩集团技术中心
开户行:兴业银行哈尔滨分行MG电子免费试玩路支行
账  号:562030100100014332
投标保证金标书款必须分别投标方的基本账户以电汇形式汇到MG电子免费试玩指定帐户,并保证在招标前一个工作日汇到,汇款时请注明招标名称、编号、标段号和用途。投标单位自行承担参加投标活动的全部费用。不管投标结果如何,招标方将不对投标单位因本次投标事宜所引起的任何费用负责。
九、联系方式
联系人:夏一今                     联系电话:0451-51870197
电子邮箱:xiayj@hayao.com
十、报名表

投标报名表

投标项目名称

MG电子免费试玩集团技术中心阿奇霉素杂质对照品招标

招标编号

ZB-JS-ZP-2012002

投标单位名称

 

投标全权代表

姓名

职务

联系电话

传真

 

 

 

 

公司地址

 

邮箱

 

公司基本户信息(必填,收取、退还投标保证金用)

基本开户行名称(全称)

 

基本开户行行号(12位)

 

基本开户行账号

 

投标方名称:(公章)
投标方全权代表签字:
年   月   日

{*主站.标题#1001} {*主站.标题#1001} {*主站.标题#1001} {*主站.标题#1001} {*主站.标题#1001} 356体育亚洲官网 申博体育在线 靠谱的体育网站老品牌网站 世界杯投注哪里买指定 沙巴体育娱乐注册开户 沙巴体育娱乐官网首页 赌足球最好的网站官方登录 im体育苹果唯一网站 伟德体育网站官网app >网站地图-sitemap